Formula Besar Sampel pada Berbagai Desain Penelitian

 

Designed by freepik

Penelitian Cross-Sectional (Prevalence Study)

Penelitian cross-sectional bertujuan untuk memperkirakan prevalensi (proporsi) suatu karakteristik atau kondisi dalam populasi pada satu titik waktu tertentu (Kirkwood & Sterne, 2003). Menurut rumus Lemeshow et.al., (1990) rumus umum yang sering dipakai untuk menentukan besar sampel pada studi cross-sectional adalah sebagai berikut:

Keterangan rumus: 

n adalah besar sampel yang dibutuhkan, 
Zα/2 adalah nilai z yang terkait dengan tingkat kepercayaan (misalnya 1,96 untuk 95% confidence interval). 
p adalah proporsi/prevalensi yang diperkirakan (dapat berasal dari studi terdahulu)
d adalah margin of error atau tingkat ketelitian yang diinginkan 

Contoh Perhitungan:
Misalnya, peneliti memperkirakan prevalensi hipertensi  dan menginginkan tingkat kepercayaan 95% (Z0,025 1,96) dengan margin kesalahan 

Case-Control Study

Pada desain case-control, peneliti membandingkan kelompok kasus (memiliki penyakit/kejadian) dan kelompok kontrol (tidak memiliki penyakit/kejadian) berdasarkan paparan tertentu (Kelseeal1996). Adapun formula umum untuk menghitung besar sampel memperhitungkan perbedaan proporsi paparan antara kelompok kasus dan kelompok kontrol (Daniel,1999)Salah satu rumus yang sering digunakan (Kelsey et al, 1996) adalah:

Keterangan rumus:

𝑝1 adalah proporsi paparan di kelompok kasus, sedangkan 𝑝2 adalah proporsi paparan di kelompok kontrol.
Zα/2 adalah nilai z untuk tingkat kepercayaan (misalnya 95%), dan 𝑍𝛽 adalah nilai z untuk power (misalnya 80%).
(𝑝1−𝑝2) adalah selisih proporsi yang ingin dideteksi.
Jika rasio antara kasus dan kontrol tidak 1:1, terdapat penyesuaian dalam formula dengan menambahkan faktor rasio tersebut (Kirkwood & Sterne, 2003).

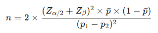
Cohort Study

Pada studi kohort, peneliti membandingkan kelompok terpapar dan kelompok tidak terpapar, kemudian diikuti untuk melihat kejadian (outcome). Besar sampel ditentukan dengan melihat perbedaan insidensi (proporsi kejadian) antara kedua kelompok. Rumus yang sering digunakan adalah:

dimana,   

pˉ=p1+p22\bar{p} = \frac{p_1 + p_2}{2}​ 

Keterangan rumus,

adalah proporsi kejadian pada kelompok terpapar, p2 adalah proporsi kejadian pada kelompok tidak terpapar.
“2” menandakan kebutuhan sampel total untuk dua kelompok (asumsi sama besar).
danZβ masing-masing berhubungan dengan tingkat kepercayaan dan power studi.

Penelitian Eksperimental (Randomized Controlled Trial)

Berdasarkan Perbedaan Rata-rata

Digunakan saat variabel utama bersifat kontinu (interval/rasio) dan peneliti ingin membandingkan selisih rata-rata antara dua kelompok. Secara umum dapat dinyatakan:

Terkadang juga ditulis dalam bentuk:

Keterangan rumus:

adalah selisih rata-rata yang ingin dideteksi. 
σ adalah simpangan baku (standar deviasi) yang diestimasi dari data terdahulu atau studi pendahuluan.
merepresentasikan effect size dalam satuan standar deviasi
“2” menandakan kedua kelompok (perlakuan dan kontrol) diharapkan memiliki ukuran sampel yang sama.

Berdasarkan Perbedaan Proporsi

Rumusnya mirip dengan formula pada studi kohort, yaitu:

dimana,    

pˉ=p1+p22​ 

Keterangan rumus,

 dan p2 adalah proporsi keberhasilan di kelompok perlakuan dan kontrol.
“2” digunakan karena perhitungan untuk dua kelompok yang diasumsikan sama besar.
 danZβ masing-masing mewakili tingkat kepercayaan dan power studi.

Pertimbangan Tambahan

Non-response atau Dropout

Dalam survei atau studi jangka panjang (kohort), peneliti perlu menambahkan cadangan sampel untuk mengantisipasi non-response (tidak bersedia ikut) atau dropout (berhenti di tengah jalan) (Daniel,1999). Misalnya, jika diperkirakan 10% responden akan keluar, maka total sampel dihitung ditambah 10% untuk menjaga daya uji penelitian (Kirkwood & Sterne, 2003).

Design Effect (deff)

Jika menggunakan cluster sampling atau multistage sampling, rumus dasar perlu dikalikan dengan design effect (deff) (WHO, 1991). Nilai deff umumnya berkisar antara 1,0–2,0 tergantung keragaman dalam cluster (.

Penggunaan Perangkat Lunak Statistik

Banyak software seperti G*Power, Epi Info, STATA, atau PASS yang memudahkan perhitungan besar sampel (. Peneliti cukup memasukkan parameter (tingkat kepercayaan, power, perkiraan effect size) untuk mendapatkan estimasi sampel .

Estimasi Awal (p atau σ)

Pemilihan nilai  (untuk proporsi) atau σ (untuk standar deviasi) memerlukan acuan dari studi sebelumnya, literatur, atau studi pendahuluan (. Semakin tepat estimasi awal, semakin akurat pula perhitungan besar sampel (.


Daftar Pustaka

  1. Daniel, W. W. (1999). Biostatistics: A Foundation for Analysis in the Health Sciences. 7th Edition. John Wiley & Sons.
  2. Kelsey, J. L., Whittemore, A. S., Evans, A. S., & Thompson, W. D. (1996). Methods in Observational Epidemiology. 2nd Edition. Oxford University Press.
  3. Kirkwood, B. R., & Sterne, J. A. C. (2003). Essential Medical Statistics. 2nd Edition. Blackwell Science.
  4. Lemeshow, S., Hosmer, D. W., Klar, J., & Lwanga, S. K. (1990). Adequacy of Sample Size in Health Studies. World Health Organization.
  5. Sullivan, L. M. (2012). Essentials of Biostatistics in Public Health. Jones & Bartlett Learning.
  6. WHO (1991). Sample Size Determination in Health Studies: A Practical Manual. Geneva: World Health Organization.

No comments

Abi. Powered by Blogger.